Алгебра 11 класс Скачать
презентацию
<<  Множество первообразных Применение определённого интеграла  >>
Урок алгебры и начал анализа
Урок алгебры и начал анализа
11 ф-м класс
11 ф-м класс
Эпиграф
Эпиграф
Кластер знаний
Кластер знаний
Интеграл
Интеграл
Как называется функция F(x) для f(x)
Как называется функция F(x) для f(x)
Что называется первообразной функции f(x)
Что называется первообразной функции f(x)
Какого основное свойство первообразной
Какого основное свойство первообразной
Как вычислить площадь криволинейной трапеции при помощи интеграла
Как вычислить площадь криволинейной трапеции при помощи интеграла
Найти первообразные для функций
Найти первообразные для функций
Верны ли равенства
Верны ли равенства
Найдите с помощью интеграла площадь фигуры изображенной на рисунке
Найдите с помощью интеграла площадь фигуры изображенной на рисунке
Составьте фразу
Составьте фразу
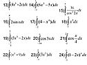
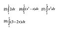
Вычислите интеграл
Вычислите интеграл
14) 15) 16) 17) 18) 19) 20) 21) 22) 23) 24)
14) 15) 16) 17) 18) 19) 20) 21) 22) 23) 24)
26) 27) 28)
26) 27) 28)
Код
Код
Ответы
Ответы
Подведение итогов
Подведение итогов
Интеграл в литературе
Интеграл в литературе
Замятин Евгений Иванович (1884-1937)
Замятин Евгений Иванович (1884-1937)
Роман «Мы» (1920 год)
Роман «Мы» (1920 год)
Иллюстрация к роману «Мы»
Иллюстрация к роману «Мы»
Интеграл в литературе
Интеграл в литературе
Определенный интеграл, ты мне ночами начал сниться
Определенный интеграл, ты мне ночами начал сниться
Ограниченность твоя мне придавала больше силы
Ограниченность твоя мне придавала больше силы
Какое счастие познал я в выборе первообразной
Какое счастие познал я в выборе первообразной
Замен и подстановок ряд привел к решению задачи
Замен и подстановок ряд привел к решению задачи
Как ты поверженный лежал числом обычным на странице
Как ты поверженный лежал числом обычным на странице
Группа «Интеграл»
Группа «Интеграл»
Домашнее задание
Домашнее задание
11 ф-м класс
11 ф-м класс
Презентация ««Интеграл» 11 класс». Размер 862 КБ. Автор: .

Скачать презентацию

Алгебра 11 класс

краткое содержание других презентаций

«Примеры применения производной» - Механический смысл производной. Исаак Ньютон. Производная и ее применение. Производная. Геометрический смысл производной. Опредление производной от функции. Опредление производной от функции в данной точке. Касательная к кривой. Производная от функции. Угловой коэффициент прямой. Угловой коэффициент касательной. Свободное падение. Повторение. Слово «предел». Перемещение тела. Найдите угловые коэффициенты.

«Построение графика функции с модулем» - Построение графиков функций. Усвоенные знания. Вопрос классу. Обобщение. Y = sinx. Линейная функция. Проектная деятельность. График функции. Y = x2 – 2x – 3. Y = f(x). Попробуйте самостоятельно построить графики. Закрепили знания на ранее изученных функциях. Актуализация знаний о графиках функций. Y = lnx. Урок обобщения и систематизации знаний. Y = x – 2.

«Вычисление площади криволинейной трапеции» - Повторение теории. Решение. Формулы для вычисления площади. Фигура, не являющаяся криволинейной трапецией. Какие из фигур являются криволинейными трапециями. Площадь криволинейной трапеции. Шаблоны графиков функций. Площади криволинейных трапеций. Готовимся к экзаменам. Какая фигура называется криволинейной трапецией. Найти первообразную функции.

«Геометрический смысл производной функции» - У меня всё получилось. Напишите уравнение касательной к графику функции. Уравнение касательной к графику функции. Определение. Секущая. Уравнения касательной. Алгоритм составления уравнения касательной. Найдите угловой коэффициент. Геометрический смысл производной. Результаты вычисления. Практическая исследовательская работа. Правильная математическая идея. Словарь урока. Предельное положение секущей.

««Интеграл» 11 класс» - Найдите с помощью интеграла площадь фигуры изображенной на рисунке. Группа «Интеграл». Определенный интеграл, ты мне ночами начал сниться. Кластер знаний. Какого основное свойство первообразной. Интеграл. Интеграл в литературе. Замен и подстановок ряд привел к решению задачи. Верны ли равенства. Иллюстрация к роману «Мы». Как вычислить площадь криволинейной трапеции при помощи интеграла. Составьте фразу.

««Функции» алгебра» - K- постоянная. «Интеграл от a до b эф от икс дэ икс». Производная. Признак максимума функции. Таблица первообразных. Найдем одну из первообразных для функции. Понятие об интеграле. Производная тригонометрических функций. Наибольшее и наименьшее значение функции. Строим график. Формула Ньютона - Лейбница. Найдем точки пересечения графика с Ох (у = 0). Исследовать функцию и построить ее график. Вычислить.

Всего в теме «Алгебра 11 класс» 35 презентаций
5klass.net > Алгебра 11 класс > «Интеграл» 11 класс.ppt