Скачать
презентацию
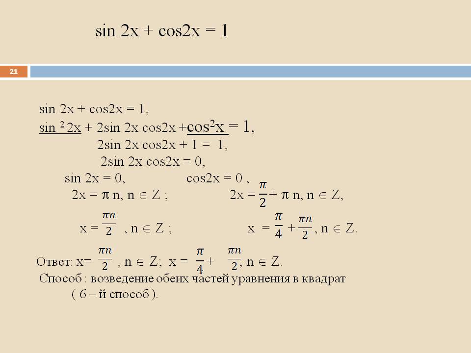
<<  Возведём обе части уравнения в квадрат Sin2x + cos2x = 1  >>
Возведение обеих частей уравнения в квадрат

sin 2x + cos2x = 1. sin 2x + cos2x = 1, sin 2 2x + 2sin 2x cos2x +cos2x = 1, 2sin 2x cos2x + 1 = 1, 2sin 2x cos2x = 0, sin 2x = 0, cos2x = 0 , 2x = ? n, n ? Z ; 2x = + ? n, n ? Z, x = , n ? Z ; x = + , n ? Z. Ответ: x= , n ? Z; x = + , n ? Z. Способ : возведение обеих частей уравнения в квадрат ( 6 – й способ ). 21.

Слайд 21 из презентации «Методы решения тригонометрических уравнений». Размер архива с презентацией 1025 КБ.

Скачать презентацию

Алгебра 10 класс

краткое содержание других презентаций

«Тригонометрические функции углового аргумента» - Тригонометрические функции числового аргумента. Значения тригонометрических функций углового аргумента. Формулы приведения. Знаки тригонометрических функций в четвертях единичной окружности. Обобщить и систематизировать учебный материал по теме. Значения тригонометрических функций основных углов. Значения тригонометрических функций углов единичной окружности. Задание. Самостоятельная работа. Косинусом угла А (соs A) называется абсцисса (х) точки.

«История тригонометрии» - Направления развития плоской тригонометрии. Техника оперирования с тригонометрическими функциями. Якоб Бернулли. Построение общей системы тригонометрических и примыкающих к ним знаний. Она появляется в системе начал математического анализа. Проходит время, и тригонометрия возвращается к школьникам. Учение об измерении многогранников. Ученику приходится встречаться с тригонометрией трижды. Новое обогащение содержания тригонометрии.

«Понятие логического высказывания» - Логика – это наука о формах и способах мышления. Найдите значение логических выражений. Два простых высказывания. Записать в виде логического выражения следующее высказывание. Логическая переменная. Алгебра – это наука об общих операциях. Запишите следующие высказывания в виде логических выражений. Составное высказывание. Умозаключение. Какие из предложений являются высказываниями. Основы логики. Дж. Буль.

«Тригонометрические неравенства» - Уравнение. Простейшие неравенства. Cos x <a. Решите уравнения. Sin x > a. Примеры простейших тригонометрических неравенств. Условие уравнения. Алгоритм решения. Решение тригонометрических неравенств. Sin x < 1/2. Тригонометрические неравенства. Задания. Корни. Решите уравнение. Неравенства. Примеры. Уравнение 1 – sinx >0.

««Тригонометрические уравнения» 10 класс» - Уравнение tg t = a. Ctg x = 1. Укажите корни. Серии корней. Продолжите фразу. Sin х. Найти корни уравнения. Sin x =1. Определение. Уравнение ctg t = a. Тригонометрические уравнения. Уравнение. Значения из промежутка. Имеет ли смысл выражение. Верно ли равенство. Сделаем выборку корней. Решите уравнение. Cos 4x. Не делай никогда того, чего не знаешь. X= tg х.

««Производная функции» 10 класс» - Обозначения Ньютона для производных - х* (с точкой) и у* - сохранились в физике до сих пор. Формула производной часто встречается в работах известных математиков 17 века. Определение. Формулы производной широко применимы в настоящее время, например, в экономическом анализе. Применение производных в экономике. Формула производной встречается нам ещё в 15 веке. «Метод флюкций». Применение производной в математике.

Всего в теме «Алгебра 10 класс» 52 презентации
5klass.net > Алгебра 10 класс > Методы решения тригонометрических уравнений > Слайд 21