Алгебра 10 класс Скачать
презентацию
<<  Тригонометрические функции и их свойства Построение графиков тригонометрических функций  >>
Значения тригонометрических функций углового аргумента
Значения тригонометрических функций углового аргумента
Цель урока
Цель урока
Обобщить и систематизировать учебный материал по теме
Обобщить и систематизировать учебный материал по теме
Тригонометрические функции числового аргумента
Тригонометрические функции числового аргумента
Косинусом угла А (соs A) называется абсцисса (х) точки
Косинусом угла А (соs A) называется абсцисса (х) точки
Значения тригонометрических функций углов единичной окружности
Значения тригонометрических функций углов единичной окружности
Тригонометрические функции углового аргумента
Тригонометрические функции углового аргумента
Тригонометрические функции числового аргумента
Тригонометрические функции числового аргумента
Значения тригонометрических функций основных углов
Значения тригонометрических функций основных углов
1
1
Тригонометрические функции числового аргумента
Тригонометрические функции числового аргумента
Значения тригонометрических функций остальных углов таблицы
Значения тригонометрических функций остальных углов таблицы
Знаки тригонометрических функций в четвертях единичной окружности
Знаки тригонометрических функций в четвертях единичной окружности
+
+
I
I
_
_
Формулы приведения
Формулы приведения
Тригонометрические функции числового аргумента
Тригонометрические функции числового аргумента
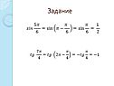
Задание
Задание
Самостоятельная работа
Самостоятельная работа
Ответы
Ответы
Презентация «Тригонометрические функции углового аргумента». Размер 968 КБ. Автор: Щавелёва.

Скачать презентацию

Алгебра 10 класс

краткое содержание других презентаций

«Физический и геометрический смысл производной» - Физический и геометрический смысл производной функции. Дифференцирование — уникальный математический метод. Физический смысл производной функции. Геометрический смысл производной функции. Объяснение физического смысла производной функции. Производная функции. Ньютон — создатель первой научной «механической картины мира». Дифференцирование. Происходящие во вселенной изменения и процессы. Спасибо за внимание.

«Способы решения тригонометрических уравнений» - Что нового вы узнали на уроке? 5.Тригонометрические уравнения, решаемые путем введения дополнительного аргумента. Образовательная: Изучить способы решения тригонометрических уравнений. Организовать работу учащихся на уровне, соответствующем уровню сформированных знаний и умений. 2. Тригонометрические уравнения, решаемые путем преобразований тригонометрическими формулами. Установите соответствие: Рассмотрим пример.

«Кратчайший путь» - Программа “ProGraph”. Смешанный граф. Пример сети, оформленной в виде графа. Просмотр результата. Достоинства программы. Описание работы программы. Смежные вершины и рёбра. Примеры неориентированных графов. Пример матрицы смежности. Ориентированные графы. Графы: определения и примеры. Алгоритм Дейкстры. Длина пути. Примеры ориентированных графов. Длина пути во взвешенном графе. Описание алгоритма.

«Системы счисления» - Примеры. Системы счисления. Что такое система счисления. Правила перевода. Правило перевода из шестнадцатеричной системы. Цифра. Десятичные числа. Правило перевода. Восьмеричная СС. Проверка. Десятичная СС. Связь систем счисления. Разбить двоичное число на тетрады. Римская система счисления. Двоичные числа. Выполни перевод. Правило перевода из восьмеричной системы. Правило перевода дробных чисел. Переводы в системах счисления.

«Схема Горнера» - Схема Горнера. Компактность записи. Полученные числа. Многочлен. Cхема Горнера. Алгоритм вычисления. Деление по схеме Горнера. Вычисления по схеме Горнера. Разложить на множители многочлен. Горнер Вильямc Джордж.

«Делимость натуральных чисел» - Лекции по алгебре и началам анализа. Признаки делимости натуральных чисел. Делимость натуральных чисел. Дробные числа. Взаимно простые числа. Натуральные числа. Свойства, связанные с последовательным расположением. Иррациональные числа. Признаки делимости. Делимость суммы и произведения. Классификация действительных чисел. Основная теорема арифметики. НОК и НОД натуральных чисел. Целые числа.

Всего в теме «Алгебра 10 класс» 52 презентации
5klass.net > Алгебра 10 класс > Тригонометрические функции углового аргумента.ppt