Скачать
презентацию
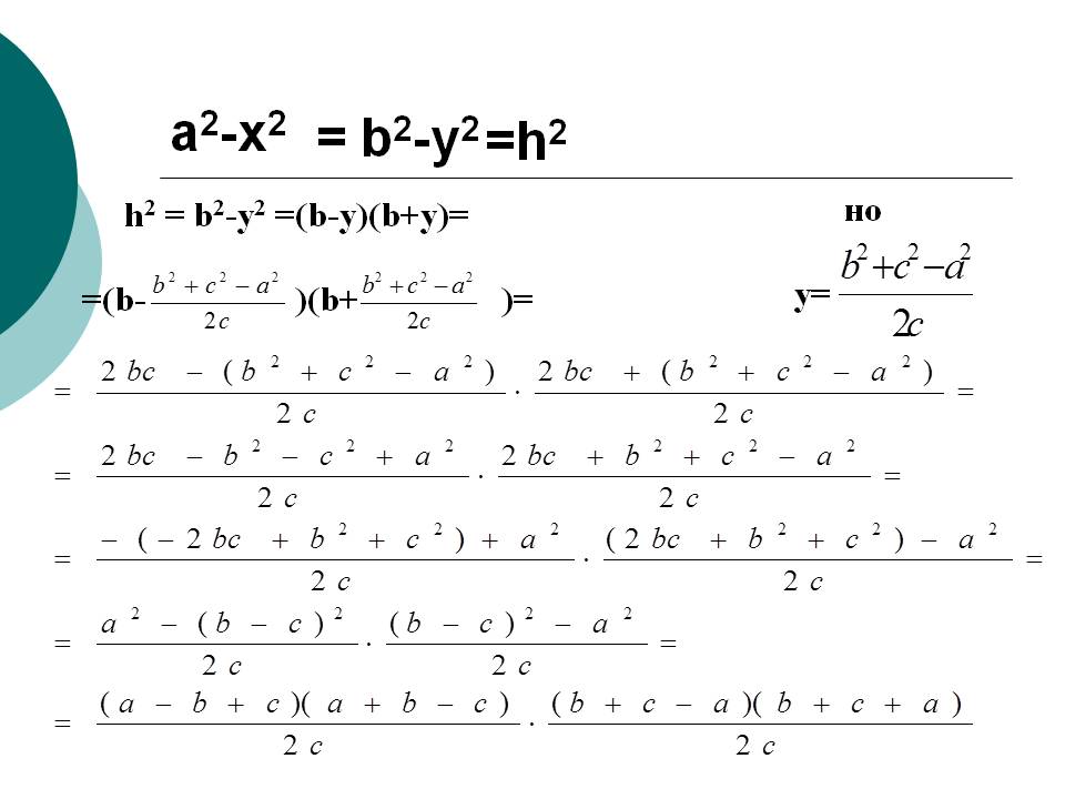
<<  Преобразуем получившееся равенство Формула Герона  >>
A2-х2
A2-х2. =h2. = B2-у2. h2. = B2-у2. =(b-y)(b+y)=. Но. =(b- )(b+ )=. y=.

Слайд 6 из презентации «Формула Герона». Размер архива с презентацией 110 КБ.

Скачать презентацию

Геометрия 8 класс

краткое содержание других презентаций

«8 класс Симметрия» - Каково взаимное расположение прямых на плоскости? Проверка домашнего задания: Изучение нового материала. Сколько и какие оси симметрии имеет квадрат? прямоугольник? окружность? Цель урока: «Симметрия относительно прямой» и «Класс насекомых». Какие геометрические фигуры имеют ось симметрии? Какое преобразование называется центральной симметрией? Какие прямые называются перпендикулярными?

«Ромб 8 класс» - Задачи исследования: Ромб. Цель исследования: Автор: учащийся 8 класса Шумков Ю.

«Многоугольники 8 класс» - К. В. МНОГОУГОЛЬНИКИ 8 класс (презентация к уроку). С. Р. М. Учитель математики высшей категории Никитина С.Е. Е. А. Д.

«Урок Теорема Пифагора» - Закрепление. a. Показ картинок. c. Исторический экскурс. Домашнее задание. План урока: Исторический экскурс. Урок геометрии, 8 класс. Теорема Пифагора. Разминка. Доказательство теоремы. МОУ-СОШ с. Батурино Учитель математики Леонова Надежда Александровна.

«Формула Герона» - Доказательство: Формула Герона. Х+у=с. Н. Площадь треугольника со сторонами a,b,c выражается формулой где полупериметр треугольника. А. Треугольники АCН и ВСН – прямоугольные. A b c y х h. В. С. Вывод формулы Герона геометрия 8 класс.

«Геометрия 8 класс» - Заббарова Ландыш Вазыховна Ново-Савиновский район Гимназия №13 Геометрия 7-8 класс. Каждое математическое утверждение, получаемое путем логического доказательства, есть теорема. Из чего строится геометрия? Каждое утверждение опирается на уже доказанные. В. А. Квадрат гипотенузы равен сумме квадратов катетов. а2+в2=с2. Теорема Пифагора. С. Понятие теоремы.

Всего в теме «Геометрия 8 класс» 69 презентаций
5klass.net > Геометрия 8 класс > Формула Герона > Слайд 6