Алгебра 9 класс Скачать
презентацию
<<  Алгоритм решения неравенств Неравенства методом интервалов  >>
Применение графического и функционально-графического методов
Применение графического и функционально-графического методов
Математика – наука молодых
Математика – наука молодых
Неравенство
Неравенство
Историческая справка
Историческая справка
Современные специальные знаки
Современные специальные знаки
Виды неравенств
Виды неравенств
Методы решения неравенств
Методы решения неравенств
Неравенства
Неравенства
Охарактеризуйте неравенства
Охарактеризуйте неравенства
Графический метод
Графический метод
Функционально-графический метод решения неравенства
Функционально-графический метод решения неравенства
Функционально-графический метод
Функционально-графический метод
Решите неравенства
Решите неравенства
Построить графики функции
Построить графики функции
Y=||||x|-1|-1|-1|
Y=||||x|-1|-1|-1|
Определите число промежутков решений неравенства
Определите число промежутков решений неравенства
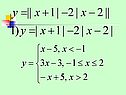
Построить график функции
Построить график функции
Графическое решение неравенств
Графическое решение неравенств
0
0
0
0
0
0
Используя график функции, решить неравенство
Используя график функции, решить неравенство
Объединение промежутков
Объединение промежутков
Графическое решение неравенств
Графическое решение неравенств
Проверочная работа
Проверочная работа
Проверочная работа
Проверочная работа
Домашнее задание
Домашнее задание
Спасибо за урок
Спасибо за урок
Презентация «Графическое решение неравенств». Размер 503 КБ. Автор: .

Скачать презентацию

Алгебра 9 класс

краткое содержание других презентаций

««Числовые функции» 9 класс» - Монотонность. Числовые функции. Свойства функций. Определение функции. Нули функции. Абсциссы точек пересечения с осью ОХ. Область определения функции. Четные и нечетные функции ( четность и нечетность). Область значений функции. Функцию y = f(x), называют нечетной.

«Задачи на функции» - Значения аргумента. Зависимая переменная. Значения. Инструкция по работе с тренажёром. Множество. Значения независимой переменной. Некоторое число. Независимая переменная. Переменная. Зависимость переменной. Функции.

««Графики функций» 9 класс» - Тренажер. Заполните пропуски. Установите соответствие между функцией и вершиной. Укажите области определения. Практикум. Выберите уравнение. Функции и графики. Функции и их графики. Большему значению аргумента соответствует большее значение функции. Цели урока. Квадратичная функция. Обратная пропорциональность. Линейная функция и ее график. Установите соответствие. Нули функции. Выберите уравнение, с помощью которого задана линейная функция.

«Элементы теории вероятностей» - Основное свойство. Полная вероятность. Предмет теории вероятностей. Анализ группы крови. Испытание. Вероятность выпадения числа. Шар с номером. Элементы теории вероятностей. Конус. Сложение вероятностей. Свалившийся со стола бутерброд. Число сочетаний. Курьер. Пустое множество. Размещения. Вероятность события. Умножение вероятностей. Факториал. Раздел математики. Семья. Условная вероятность события.

«Алгебра «Геометрическая прогрессия»» - Геометрическая прогрессия. Девиз урока. Записать первые четыре члена г.п.. Физкультминутка. Проверка выполнения. Математический диктант. «Математику нельзя изучать, наблюдая, как это делает сосед…» Айвен Нивен. Величины углов выпуклого четырехугольника образуют геометрическую прогрессию со знаменателем 2.Найдите эти углы. Напишите в один из столбиков любую последовательность чисел. Основное свойство геометрической прогрессии.

«Геометрическая вероятность» - Мяч. Точка. Серия опытов. Отрезок. Круг. Зажмурим глаза. Формулы геометрической вероятности. Геометрическое определение вероятности. Решение тренировочных задач. Тетрадный лист. Вероятность. Понятие вероятности с геометрией. Геометрическая вероятность. Стрелка. Оконная решетка. Квадрат.

Всего в теме «Алгебра 9 класс» 48 презентаций
5klass.net > Алгебра 9 класс > Графическое решение неравенств.ppt