Скачать
презентацию
<<  Решение неполных квадратных уравнений Способы решения  >>
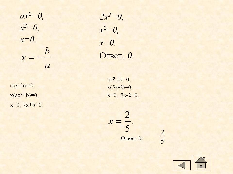
Ax2=0, x2=0, x=0

ax2=0, x2=0, x=0. 2x2=0, x2=0, x=0. Ответ: 0. 5x2-2x=0, x(5x-2)=0, x=0, 5x-2=0, ax2+bx=0, x(ax2+b)=0, x=0, ax+b=0, Ответ: 0;

Слайд 7 из презентации «Различные способы решения квадратных уравнений». Размер архива с презентацией 256 КБ.

Скачать презентацию

Алгебра 8 класс

краткое содержание других презентаций

«Арифметический квадратный корень и его свойства» - Решай снова. Ученик. Применение. Пример. Теорема. Преобразование. Пройди тест. Тест. Свойства арифметических квадратных корней. Свойства. Я огорчён твоими знаниями. Крошка Ро. Ошибкам тебя точно не догнать. Твой путь был нелёгок.

«Методы решения квадратных уравнений» - Три пути ведут к знанию. Уравнения записаны по какому-то определенному признаку. Свойство применяют для устного решения квадратных уравнений. Вычислите корни квадратного уравнения методом выделения. Вычислите корни квадратного уравнения. Уравнение. Сведения из истории. Сумма коэффициентов. Как вы думаете, какое из уравнений этой группы лишнее. Решенья небольшого уравнения. Решение квадратных уравнений.

«Алгоритм решения квадратного уравнения» - Выбрать квадратные уравнения. Значение переменной. Формулы корней квадратного уравнения. Коэффициенты. Самостоятельная работа. Немного из истории. Старший коэффициент. Квадратное уравнение имеет два корня. Основные понятия. Проверь себя. Алгоритм решения квадратного уравнения. Решить задания. Решите уравнение. Приведенные квадратные уравнения. Понятия квадратного уравнения. Правило решения. Квадратные уравнения.

«Различные способы решения квадратных уравнений» - Определение квадратного уравнения. Решите уравнения. Парабола. Решите уравнения методом «переброски». Примеры. Способ «переброски». Уравнение. Решите графически уравнения. Фундамент, на котором покоится величественное здание алгебры. Виды квадратных уравнений. Графиком является парабола. Разложение левой части на множители. Метод выделения полного квадрата. Решение неполных квадратных уравнений. Способы решения.

«Понятие квадратного корня» - Квадратный корень. Более общая задача. Может ли быть отрицательным числом квадрат действительного числа. Понятие квадратного корня. Сколько существует квадратных корней из положительного числа. Два квадратных корня из любого положительного числа. Найдите сторону квадрата. Покажем, что b – число неотрицательное. Существует два числа, квадраты которых равны 4. Решите задачу. Рассмотрим уравнение х2 = 4.

««Квадратные корни» 8 класс» - Устная разминка. Цели урока. Раскрытие тайны. Возведение в квадрат целого числа с половиной. Математические фокусы. Лаборатория исследований. Корень квадратный из числа. Арифметический квадратный корень. Лаборатория раскрытия тайн. Слово алгебра. Сегодня на уроке мы. Оценочный лист. Лаборатория теоретиков. Слово - загадка. Девиз урока. Найдите неизвестный объект.

Всего в теме «Алгебра 8 класс» 43 презентации
5klass.net > Алгебра 8 класс > Различные способы решения квадратных уравнений > Слайд 7