Алгебра 7 класс Скачать
презентацию
<<  Свойства степени с натуральным показателем Умножение и деление одночленов  >>
Умножение одночленов
Умножение одночленов
Навыки умножения
Навыки умножения
Какое выражение называется одночленом
Какое выражение называется одночленом
Свойства степеней
Свойства степеней
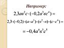
Например
Например
Например
Например
Например
Например
Вычислить значение одночлена
Вычислить значение одночлена
Значение одночлена
Значение одночлена
Одночлены называются подобными
Одночлены называются подобными
На уроке
На уроке
Как умножить одночлен на одночлен
Как умножить одночлен на одночлен
Задание
Задание
Спасибо за урок
Спасибо за урок
Материалы
Материалы
Презентация «Действия с одночленами». Размер 256 КБ. Автор: DNA7 X86.

Скачать презентацию

Алгебра 7 класс

краткое содержание других презентаций

«Задачи на делимость» - Бином Ньютона. Произведение трех последовательных целых. Признаки делимости. Признаки делимости натуральных чисел. Четность и нечетность чисел. Исключение целой части числа. Найти все целочисленные решения уравнения. Применение теоремы Безу. Равноостаточные классы. Признаки делимости любых натуральных чисел. Заключение. Сложность задач. Делимость по последним цифрам числа. Разложение на множители.

««Умножение многочленов» 7 класс» - Алгоритм умножения многочленов. Правило. Умножение многочленов. Цели урока. Урок по теме «Умножение многочленов». Работа по задачнику. Устная работа. Домашнее задание. Умножение многочлена на одночлен. Умножить многочлен на многочлен.

«Алгебра 7 класс «Многочлены»» - Члены, которые заключены в скобки. Условие задачи. Спортсменка стала пробегать дистанцию на одну минуту быстрее. Решите и проверьте. Закончите предложение. Основание оставляют прежним, а степени складывают. Многочлены. Цель урока. Умножить одночлен на многочлен. Решение уравнения. Найди ошибку.

«Тест «Алгебраические выражения»» - Упростите выражение: 12а – 4х + 5 + 3х – 8 – а + 7а. Вы набрали 1 балл. Верные равенства. Найдите значение выражения. Вы набрали 4 балла. Найдите значение выражения –3а + 2b при а = –2, b = –4. Оценка. Упростите выражение. Вы набрали 5 баллов. 4 балла. 3 балла. Вы набрали 6 баллов. Вы набрали 2 балла. Значение выражения. Алгебраические выражения. Приведите подобные слагаемые. Приведите подобные слагаемые –13а + 5 + 7а – 6а.

«Тождества» - Докажите тождество. Математика нужна. Примеры тождеств. Разность между правой и левой частями выражения. Упростим обе части равенства. В результате тождественного преобразования. Преобразуем правую часть равенства. Разность между левой и правой частями. Исходное равенство. Выполнить действия. Замену одного выражения другим, тождественно равным ему, называют тождественным преобразованием. Проверьте решение.

«Стандартный вид одночлена» - Одночлен и его стандартный вид. Закрепление нового материала. Самостоятельная работа. Воспользуемся переместительным и сочетательным законами умножения. На доске. Практическая работа. Прочитайте выражения. Заполните таблицу. Произведение чисел. Закрепление. Представьте в виде степени. Посмотрите внимательно. Показатель степени. Определение. Что называется степенью одночлена. Коэффициенты. Вычислительные навыки учащихся.

Всего в теме «Алгебра 7 класс» 42 презентации
5klass.net > Алгебра 7 класс > Действия с одночленами.pptx