Скачать
презентацию
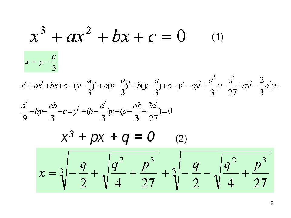
<<  Кардано полностью разобрался и с общим кубическим уравнением х3 + ах2 Первый пример:  >>
Х3 + рх + q = 0
Х3 + рх + q = 0. (1). (2). 9.

Слайд 9 из презентации «Уравнения третьей степени». Размер архива с презентацией 134 КБ.

Скачать презентацию

Алгебра 11 класс

краткое содержание других презентаций

«Применение определённого интеграла» - Содержание: Методы интегрирования. §3. Механическая работа. Задачи: Нахождение статических моментов и центра тяжести кривой. §7. Введение. Нахождение статических моментов и центра тяжести плоской фигуры. §8. Заключение. Свойство разности значений первообразной. §5. Гл.3. Применение определенного интеграла. §1. Остальные результаты §7.Анализ изложения темы «Определенный интеграл» в современных учебниках.

«Иррациональные уравнения» - Цели: Познакомить учащихся с решениями некоторых видов иррациональных уравнений. Развитие навыка самоконтроля, умений работать тестами. На контроль. №419 (в,г),№418(в,г),№420(в,г) 3.Устная работа на повторение 4.Тест. Урок 1 Тема: Решение иррациональных уравнений. 1.Сообщение темы, цели и задач урока. 2.Проверка д/з. Проверка д/з. Д/З.

«Показательные уравнения и неравенства» - 4. Учитель: Алтухова Ю.В. - Какие из данных уравнений являются показательными? (Уравнивание показателей). б) Если a>1, то из неравенства. Обоснование: 12). 7. С.А. Яновская. Сравните основание а с единицей: 3. - Каков общий вид простейших показательных неравенств?

«Показательные и логарифмические неравенства» - 1.2. Решение показательных неравенств вида. 1. Показательные неравенства 1.1. Решение простейших показательных неравенств. 1.3. Решение показательных неравенств с помощью замены переменных. Сложными показательными неравенствами называются неравенства вида. Лекция №5. Простейшими показательными неравенствами называются неравенства вида. Решение:

«Уравнения третьей степени» - Решение уравнений третьей степени. 2006-2007 учебный год. «Великое искусство». г.Северодвинск. Здесь р = 6 и q =-2.Наша формула дает: Объект исследования: уравнения третьей степени. (1). Второй пример:

«Правила дифференцирования» - Урок по алгебре и началам анализа (11 класс) Правила дифференцирования. Домашнее задание. Что значит функция дифференцируема в точке x ? Каким может быть число h в отношении ? Тип урока: урок повторения и обобщения полученных знаний. Свойства производных? Как называется операция нахождения производной ? Фронтальный опрос.

Всего в теме «Алгебра 11 класс» 35 презентаций
5klass.net > Алгебра 11 класс > Уравнения третьей степени > Слайд 9